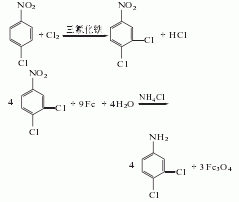
structural formula business number 025y molecular formula c10h11no2 molecular weight 177.20 label (3,4-dimethoxyphenyl)acetonitrile, veratrum nitrile, 3,4-dimethoxybenzonitrile, 3,4-dimethoxy-benzeneacetonitril, 3,4-dimethoxybenzyl cyanide numbering system physical property data toxicological data ecological data molecular structure data computing chemical data more properties and stability storage method synthesis method purpose numbering system cas number:93-17-4 mdl number:mfcd00001911 einecs number:202-225-1 rtecs number:al9325000 brn number:1956100...











